2024
В рамках выполнения проекта в 2024 году получен ряд результатов, значимых для материаловедения, лазерной физики и биофизики.
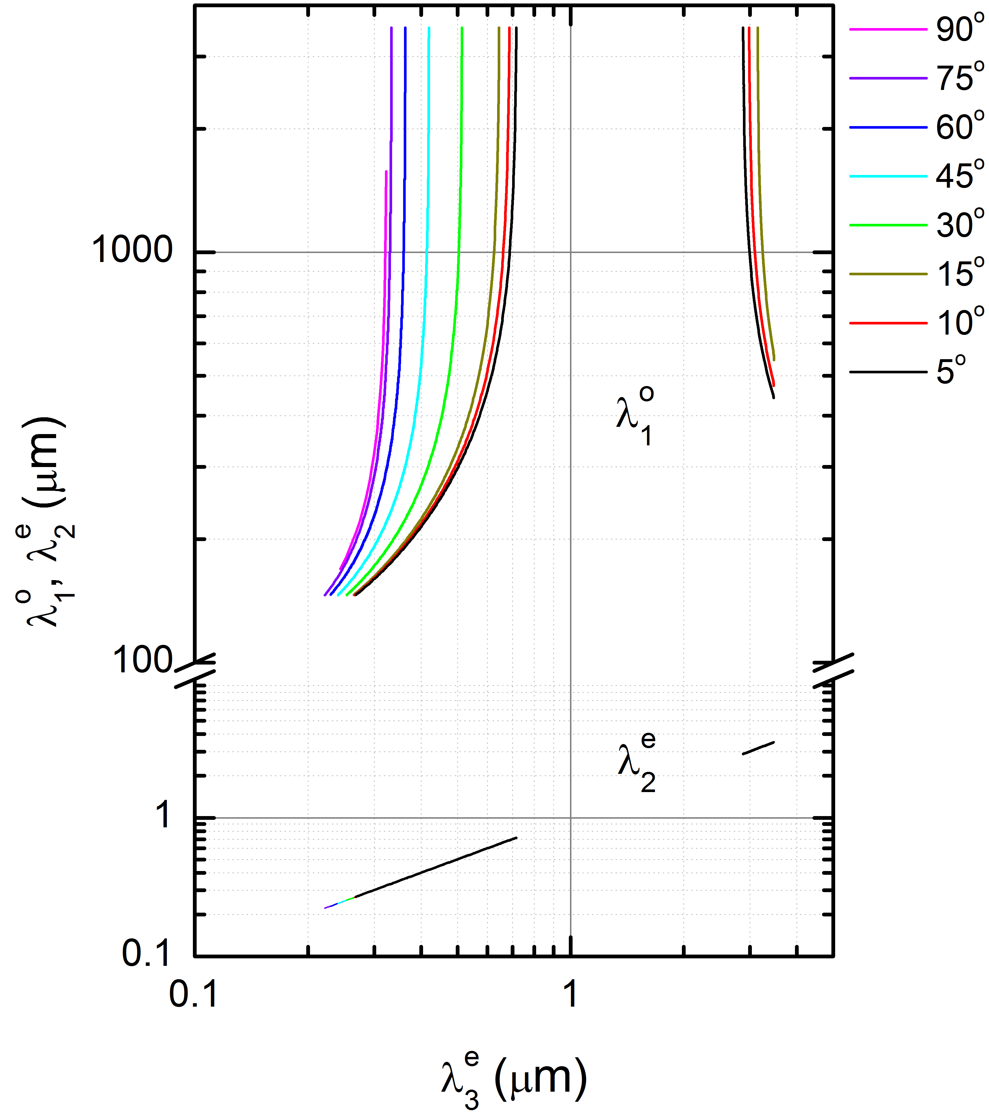
Впервые произведена оценка величины нелинейно-оптического коэффициента d22 в кристаллах GaSe:S, отвечающего за взаимодействие телекоммуникационных длин волн (1,55 мкм) и планируемых к освоению радиофотоникой и интегральной оптикой в ближайшем будущем суб-ТГц-частот. Значения коэффициента составили 13,94 и 17,61 пм/В для нелегированного образца и с близкой к оптимальной степени легирования (GaSe0,88S0,12) соответственно.
Показана возможность дифференциальной диагностики черепно-мозговых травм и глиобластомы в эксперименте при исследовании сыворотки крови животных методом импульсной ТГц-спектроскопии с применением обработки данных на основе алгоритмов машинного обучения. Определены информативные частоты для разделения группы животных с травмой от группы животных с глиобластомой: 0,37, 0,40, 0,55, 0,60, 0,70 и 0,90 ТГц. Показатели чувствительности, специфичности и точности анализа составили 95%, 80% и 86%, соответственно.
Предложен и оптимизирован дизайн ТГц-сенсора на основе массива золотых наноантенн для обнаружения биомаркера онкологии (глиобластомы) L-изомера 2-гидроксиглутарата L-2HG в биологических образцах. Экспериментальная апробация сенсора на высушенном из раствора L-2HG демонстрирует чувствительность сенсора на уровне (3,38 ±1,7)×10−3 1/нг. При этом не наблюдается явной чувствительности к энантиомеру данной молекулы – D-2HG.
В направлении разработки новых лазерных источников для даунконверсии их частот в ТГц-спектральный диапазон исследованы два разных подхода по формированию импульсного лазерного излучения: а) за счёт квазисинхронной накачки и б) за счёт неустойчивости усиления в полупроводниковом усилителе. Оба подхода обладают простотой реализации и высокой энергоэффективностью, а также узким оптическим спектром генерации. В частности, получены следующие результаты по каждому из подходов.
1) Показано, что при квазисинхронной накачке в волоконных лазерах формируются импульсы с длительностями в сотни нс (в потенциале до единиц нс) с высокой энергией (более 100 нДж) непосредственно из задающего генератора (волоконного лазера), что открывает возможности для дальнейшего увеличения энергии посредством минимального количества усиливающих каскадов.
2) В случае формирования импульсов за счёт неустойчивости усиления в полупроводниковом усилителе в волоконных лазерах могут быть получены суб-наносекундные импульсы с мульти-гигагерцовой частотой следования, а также с возможностью плавной и контролируемой перестройкой по длине волны. Сочетание коротких импульсов с высокой частотой следования и возможностей плавной перестройки длины волны делает такие лазерные системы весьма перспективными для разработки перестраиваемых узкополосных ТГц-генераторов, основанных на нелинейно-оптическом преобразовании в кристаллах и фотосмешении в полупроводниковых структурах.
Краткие результаты 2023
Применение метода импульсной терагерцовой спектроскопии для биомедицины
Исследование глиомы мышей (Совместно с ФНИЦ «Кристаллография и фотоника» РАН и ТГУ).
https://doi.org/10.18287/JBPE23.09.030308
В диапазоне частот 0.2–2.0 ТГц исследованы спектры коэффициента поглощения и показателя преломления сыворотки крови через 7 и 21 день после введения клеток U87 глиобластомы человека в мозг иммунодефицитных мышей. Показано, что коэффициенты поглощения сыворотки крови здоровых мышей и на 7-е сутки эксперимента не отличаются. Коэффициент поглощения сыворотки мышей на 21-е сутки меньше, чем у воды и сыворотки крови других экспериментальных групп (рис. 4.1). Анализ наблюдаемых отличий в ТГц спектрах проводили на основе сравнения экспериментальных спектров диэлектрической проницаемости с модельной диэлектрической функцией воды, которая может быть описана двухкомпонентной моделью Дебая и слагаемым Лоренца. Было показано, что к 21 дню после введения клеток U87 глиобластомы наблюдается уменьшение Δε1 и увеличение времени релаксации τ1 по сравнению с данными для воды. На данном сроке наблюдается увеличение объема опухоли более чем в 34 раза по сравнению с 7 сутками после введения клеток U87 глиобластомы. Это приводит к существенному изменению состава сыворотки крови. Уменьшение вклада Δε1 в диэлектрическую проницаемость образцов в динамике роста опухоли связано с тем, что доля свободной воды уменьшается при одновременном увеличении доли связанной воды. Увеличение времени релаксации τ1 в динамике роста опухоли свидетельствует о «замедлении» процесса переориентации молекул воды в сети водородных связей.
Исследование глиомы человека (Совместно с ФНИЦ «Кристаллография и фотоника» РАН и ТГУ).
https://doi.org/10.3390/app13095434
Методом импульсной ТГц спектроскопии исследовано пропускание плазмы крови пациентов с глиомами 2–4 степени злокачественности, пациентов с травмами черепа и здоровых доноров. Экспериментальные спектры были обработаны методами машинного обучения, которые включали сглаживание спектров с использованием фильтра Савицкого-Голея; уменьшение размерности данных с помощью метода главных компонент; анализ разделимости данных с использованием опорных векторов (ОВ), случайного леса и градиентного бустинга. Качество выбранной модели оценивалась методом перекрестной проверки с использованием показателей ROC-AUC, чувствительности и специфичности. Показано, что ансамблевые методы на основе случайного леса работают существенно точнее метода опорных векторов: методы «градиентный бустинг» и «случайный лес» показывают лучшее разделение группы пациентов с глиомой от здоровых доноров и от пациентов с травмами.
Исследование линейный и нелинейных оптических свойств кристаллов для задач генерации ТГц излучения
Исследование кристаллов BIBO( Совместно с ТГУ).
https://doi.org/10.3390/photonics10070713
Кристаллы трибората висмута (BiB3O6, BIBO) были исследованы с целью создания нелинейно-оптических источников терагерцового излучения. Ранее нами были измерены коэффициенты поглощения и показатели преломления главных оптических осей кристалла при комнатной температуре и 77 K. Измерения были проведены с высокой точностью методом импульсной терагерцовой спектроскопии в диапазоне 0.1–2 ТГц на образцах толщиной 5 мм и апертурой ~10´10 мм2. Было определено, что коэффициент поглощения кристалла в субтерагерцовом диапазоне лежит ниже 0.2 см−1 для обеих температур. Дисперсия трех главных компонент показателя преломления была аппроксимирована выражениями Зельмейера в простейшей форме. За текущий период проведено исследование оптических свойства кристаллов BIBO при температурах 473, 383, 295 и 77 К и построена температурная зависимость коэффициентов уравнений Зельмейера для ТГц диапазона частот. По полученным данным проведены расчёты коллинеарного трехволнового взаимодействия с ненулевой эффективностью для генерации разностной частоты (ГРЧ) в ТГц спектральном диапазоне при длинах волн накачки в окрестности 800 нм (Рис. 4.2а).
Показано, что условия фазового согласования (ФС) выполняются в главной плоскости xz кристалла для θ = 25.68° при комнатной температуре. Из-за узкого углового синхронизма, демонстрируемого при данном срезе, предлагается использовать температурную перестройку частоты ФС вместо поворота кристалла. Изменение температуры кристалла от −50 до 50 °C соответствует диапазону перестройки частоты от 0.14 до 0.65 ТГц. Также были рассмотрены ортогональные осям срезы кристалла и оценены длины когерентности для процессов оптического выпрямления фемтосекундных лазерных импульсов, которые составили от 1 до 5 мм [8]. Полученные результаты свидетельствуют о потенциале применения кристалла BIBO в качестве источника интенсивного излучения терагерцового диапазона при накачке мощными лазерными источниками с длиной волны в окрестности 800 нм и демонстрируют его преимущество перед другими кристаллами семейства боратов (Рис. 4.2б).
Исследование кристаллов GUHP (Совместно с ФНИЦ «Кристаллография и фотоника» РАН).
https://doi.org/10.1109/TTHZ.2023.3286662.
Было проведено исследование нового молекулярного кристалла молекулярном кристалле гуанилмочевины гидрофосфита (GUHP) методами КРС и ТГц спектроскопии. Изучение колебательного отклика в ТГц диапазоне двумя взаимодополняющими методами позволяет описать фононы в области 1-4 ТГц, которые вовлечены в механизм генерации ТГц излучения, стимулированного фемтосекундными лазерными импульсами, что делает кристалл GUHP перспективным материалом для ТГц применений в различных областях.
Исследование кристаллов GaSe:S (Совместно с ИГМ им. В.С. Соболева СО РАН).
https://doi.org/10.3390/app13042045
Впервые проведено исследование нелинейно-оптического взаимодействия волн телекоммуникационного диапазона (c-band, 1550 нм) и волн, перспективных для систем беспроводной связи будущего поколения (0.9–2 мм), соответствующих частотам 140–350 ГГц в кристаллах селенида галия, легированного серой GaSe(1−х)Sx, где х принимает значения 0, 0.03, 0.12, 0.16 и 0.22. Показано, что увеличение содержания серы в структуре кристалла нелинейно влияет на значения электрооптического r22 и нелинейного коэффициентов d22. Такое поведение можно объяснить двумя противодействующими механизмами: падением экситонного возбуждения при росте значения содержания серы до величины х ~ 0.12 и смещения края поглощения в коротковолновую область спектра; при дальнейшем увеличении концентрации серы происходит уменьшение квадратичной восприимчивости, обусловленное переходом в центросимметричную фазу, соответствующую кристаллу сульфида галлия (GaS).
В работе определен оптимальный диапазон легирования кристаллов GaSe(1−x)Sx, обеспечивающий максимальную нелинейность и эффективность взаимодействия. Максимальные значения электрооптического r22 и нелинейно-оптического d22 коэффициентов кристаллов GaSe(1-x)Sx наблюдаются при х = 0.12. Измеренные коэффициенты нелегированного GaSe составляют r22 = 0.975 пм/В и d22 = 13.94 пм/В, а для наиболее эффективного кристалла GaSe0.88S0.12 r22 = 1.262 пм/В и d22 = 17.61 пм/В. Полученные результаты по линейным и нелинейным оптическим свойствам кристаллов GaSe(1−x)Sx будут полезны при разработке линейных смесителей и модуляторов устройств оптической связи.
Исследование кристаллов LiTaO3.
https://doi.org/10.1007/s10762-022-00896-w
Известно, что ультрафиолетовый (УФ) край поглощения кристаллов танталата лития (LiTaO3, ТЛ) имеет более высокочастотное положение в сравнении с кристаллами ниобата лития (LiNbO3), которые в настоящее время являются наиболее эффективными и распространенными источниками интенсивного импульсного терагерцового излучения, основанными на преобразовании частот титан-сапфировых усилителей. Предполагается, что кристаллы ТЛ могут оказаться более эффективными ТГц источниками, в силу меньшего влияния процессов трёхтонного поглощения, проявляющихся при высокой интенсивности накачки. Оставался неясным вопрос на сколько возможно дополнительное увеличение эффективности оптико-терагерцового преобразования в стехиометрических кристаллах ТЛ при их охлаждении, которое влияет не только на снижение поглощения в терагерцовом спектральном диапазоне, но и на высокочастотное смещение УФ-края.
Нами проведены исследования оптических и диэлектрических свойств стехиометрического танталата лития в ТГц спектральном диапазоне от комнатной температуры до температуры жидкого азота. Определены показатель преломления, коэффициент поглощения и комплексная диэлектрическая проницаемость для обыкновенной и необыкновенной волн. Диэлектрическая проницаемость кристалла хорошо аппроксимируется двухосцилляторной моделью Лоренца. Первый осциллятор с частотой 4.251 ТГц соответствует наиболее ярко выраженной фононной моде, а второй на частоте в окрестности 1 ТГц, сильно передемпфированной, скорее всего, связанной с остаточными дефектами кристаллической структуры. Показано, что коэффициент поглощения в ТГц спектре при охлаждении падает на порядок как для обыкновенной, так и для необыкновенной волны. В УФ области край поглощения смещается примерно на 8 нм в коротковолновую сторону, а коэффициент поглощения при 267 нм (третья гармоника от 800 нм) уменьшился на 16 см−1 при температуре жидкого азота. При этом основные изменения в поглощении наблюдаются в диапазоне от комнатной температуры до −125 °С (Рис.4.3.).
Результаты демонстрируют, что эффективность оптико-терагерцового преобразования частот титан-сапфировых усилителей в стехиометрических кристаллах ТЛ может возрастать более чем на порядок при их охлаждении, что обуславливает их возможное превосходство над кристаллами ниобата лития.
Результаты, достигнутые ранее в тематической группе 15-4
Краткие результаты 2022
1. Исследованы температурные зависимости дисперсии главных компонент показателя преломления кристаллов LiB3O5 в диапазоне частот 0,05–0,5 ТГц при нагреве от 20 до 200 °C. Обнаружено пересечение показателей преломления осей X и Y при температуре ~ 84 °C. Полученные данные могут быть использованы для управления типами и условиями фазового синхронизма реализуемых нелинейных преобразований частот в длинноволновую часть ТГц-диапазона, а также при создании управляемых температурой волновых пластин для миллиметровых волн.

Температурная зависимость главных компонент показателя преломления кристаллов LiB3O5 на частот 0,3 ТГц.
2. С использованием методов спектроскопии комбинационного рассеяния света (КРС) и импульсной терагерцовой спектроскопии исследованы структура, динамика решетки и диэлектрические свойства пленок Sr0.5Ba0.5Nb2O6, выращенных на подложке MgO (001) методом ВЧ-катодного распыления в атмосфере кислорода. Установлено, что пленки являются гетероэпитаксиальными, однородными и характеризуются высоким структурным совершенством. При анализе спектров КРС от пленки, измеренных при разных температурах в интервале 299–433 K, выявлены связанные с фазовым переходом особенности в поведении отдельных мод при T ≃ 390 (±10) K. Показано, что деформация элементарной ячейки как в плоскости сопряжения с подложкой, так и в перпендикулярном к ней направлении может сохраняться и в пленках толщиной 2,4–2,5 мкм. Предположительно, это является причиной усиления размытия сегнетоэлектрического фазового перехода по данным спектроскопии КРС, а также изменения диэлектрических свойств в терагерцовой области частот.

Действительная ε1 и мнимая ε2 части диэлектрической проницаемости пленки Sr0.5Ba0.5Nb2O6 при комнатной температуре в терагерцовой области спектра (диапазон погрешностей обозначен тонкими линиями).
3. Проведена структурная характеризация керамических образцов майенита, и исследованы спектры комплексной диэлектрической проницаемости (ε = ε1 + iε2) в диапазоне 0,2–1,3 ТГц.

Спектры действительной ε1 (а) и мнимой ε2 (б) частей диэлектрической проницаемости майенита, измеренных при температурах 24 °С (room) и -192 °С (cryo). Кривые C12A7-P (фиолетовый) и C12A7-H (синий) адоптированы из Phys. Rev. B 2004, 70, 193104.
Анализ спектров показывает, что при переходе от чистого майенита к электрической фазе наблюдается увеличение ε2 в сторону низких частот. Это хорошо согласуется с данными, полученными группой Хосоно (см. кривую для C12A7-H) и свидетельствует об увеличении концентрации свободных носителей заряда, что выражается в увеличении плазменной частоты и постепенном увеличении затухания для низкочастотной части спектра. Анализ графиков ε2 позволяет сделать вывод, что концентрация носителей заряда в образце С12А7‑1390 соответствует значениям для С12А7‑Н из [Phys. Rev. B 2004, 70, 193104.] и имеет значение ~1018 см-3. В то же время для C12A7‑1380 это значение заметно ниже. Более резкий рост ε2 на высоких частотах в нашем случае, скорее всего, связан с рассеянием ТГц излучения воздушными порами в образцах. Охлаждение наших образцов не оказывало существенного влияния на ε1. Однако наблюдалось заметное изменение ε2, в частности в низкочастотной области. Предположительно, это связано с захватом свободных носителей заряда при охлаждении материала.
2010-2019
Широкополосная импульсная терагерцовая спектроскопия
- Генерация ТГц излучения в полупроводниках А3В5
- ТГц свойства кристаллов семейства боратов и их применения
- ТГц свойства кристаллов титанил-фосфата калия и их применения
- Измерение отношения концентраций орто- и параизомеров воды методом ТГц спектроскопии
- Система нестационарной ТГц спектроскопии на основе титан-сапфирового лазера
Терагерцовые спектрометры на основе фемтосекундных волоконных лазеров
Разработаны методы и созданы системы широкополосной терагерцовой (ТГц) спектроскопии на основе фемтосекундных волоконных лазеров [1,2] (рис. 1, 2). Генерация ТГц излучения осуществляется в многоэлементной фотопроводящей антенне «Batop». Для регистрации терагерцовых импульсов применяется поляризационно-оптический метод, основанный на линейном электрооптическом эффекте в кристаллах теллурида цинка ZnTe с ориентацией <110> и толщиной 2 мм [3,4]. Регистрация изменения напряженности терагерцового излучения во времени, прошедшего через образец, осуществляется стробоскопическим методом с использованием оптической линии задержки пробного лазерного импульса. ТГц спектрометры обеспечивают исследование образцов в диапазоне температур от -196 °C до 250 °C в различных экспериментальных конфигурациях: спектроскопия нарушенного полного внутреннего отражения, спектроскопия тонких пленок на подложках.
Разработано и создано программное обеспечение управления широкополосными импульсными терагерцовыми спектрометрами, а также цифровой коррекции и обработки ТГц сигналов. Программное обеспечение позволяет корректировать систематические погрешности ТГц измерений, связанных с дрейфом мощности лазера накачки и нестабильностью оптической линии задержки [5], а также определять физические характеристики исследуемых образцов, такие как комплексный показатель преломления, коэффициент поглощения, комплексная диэлектрическая проницаемость, проводимость и т. д.
| Рис. 1. Схема ТГц спектрометра | Рис. 2. Внешний вид ТГц спектрометра |
Характеристики спектрометра:
|
Рабочий спектральный диапазон, ТГц |
0,1÷2,5 |
|
Число регистрируемых линий ТГц излучения |
> 200 |
|
Динамический диапазон регистрируемых линий, до |
500 |
|
Диапазон длин волн лазерного излучения накачки, мкм |
0,75-0,8 |
|
Длительность импульса лазерного излучения, фс |
< 100 |
Спектрометры предназначены для:
- исследования полупроводниковых материалов и структур, в т.ч. систем пониженной размерности, без нарушения их функционирования;
- изучения внутренней структуры и идентификации сложных биологических молекул (аминокислот, полипептидов, белков, ДНК и РНК);
- неинвазивной диагностики, в т.ч. в медицине;
- обнаружения взрывчатых и наркотических веществ.
Публикации:
- Анцыгин В. Д., Мамрашев А. А., Николаев Н. А., Потатуркин О. И. Малогабаритный терагерцовый спектрометр с использованием второй гармоники фемтосекундного волоконного лазера // Автометрия. 2010. Т. 46, № 3. С. 110–117.
- О. И. Потатуркин, В. Д. Анцыгин, А. А. Мамрашев, Н. А. Николаев. Малогабаритный терагерцовый спектрометр // Патент на полезную модель № 105738 Опубликован 20.06.2011 Бюл. № 17.
- Мамрашев А. А., Потатуркин О. И. Исследование характеристик системы поляризационно-оптической регистрации импульсного терагерцового спектрометра // Автометрия. 2011. Т. 47, № 4. С. 16–22.
- Анцыгин В. Д., Лосев В. Ф., Мамрашев А. А., Николаев Н. А., Потатуркин О. И. Особенности исследования анизотропных сред методами импульсной терагерцовой спектроскопии // Автометрия. 2016. Т. 52, № 4. С. 71–78.
- Mamrashev A. A., Minakov F. A., Maximov L. V., Nikolaev N. A., Chapovsky P. L. Correction of Optical Delay Line Errors in Terahertz Time-Domain Spectroscopy // Electronics. 2019. Vol. 8, № 12. P. 1408.
Генерация терагерцового излучения в полупроводниках А3В5
Предложен новый метод генерации терагерцового излучения при воздействии фемтосекундных лазерных импульсов на поверхность узкозонного полупроводника [1,2]. Суть метода заключается в том, что с помощью микролинзового растра и затенения части поверхности полупроводника металлическими полосами создается пространственная модуляция интенсивности возбуждающего излучения. Рождающиеся в полупроводнике фотоносители разного знака имеют различную скорость диффузии. Вследствие этого на резкой границе металлического покрытия возникает градиент концентрации фотоносителей вдоль поверхности полупроводника (поперечный фотоэффект Дембера, рис. 3). Его релаксация за времена ~1 пс приводит к излучению электромагнитных импульсов терагерцового диапазона. Создан экспериментальный прототип предложенного терагерцового генератора на полупроводнике p-InSb и получен патент на изобретение [2].
Рис. 3. Схема генерации терагерцового излучения на краю непрозрачной маски. 1 – полупроводниковая пластина; 2 – непрозрачная маска; 3 – импульс электрического тока; 4 – диаграмма направленности детектируемой части терагерцового излучения; 5 – терагерцовое излучение, отражающееся от маски, 6 – возбуждающее лазерное излучение
Экспериментально показано преимущество генерации терагерцового излучения на поверхности полупроводниковых кристаллов по сравнению с методом оптического выпрямления в кристалле ZnTe при их облучении лазерными импульсами на длине волны 775 нм [3]. Проведено сравнение эффективности генерации терагерцового излучения в полупроводниках GaAs, InAs и InSb (рис. 4а). Установлено, что при данных параметрах лазерного излучения наиболее эффективным генератором является InAs, для которого оценен вклад различных механизмов в генерацию терагерцового излучения: фотоэффекта Дембера и оптического выпрямления. Выполнены экспериментальные исследования генерационных свойств полупроводниковых материалов InAs, InSb с различными типами и концентрациями носителей при накачке фемтосекундными лазерными импульсами на длине волны 1550 нм (рис. 4б). Установлено, что наибольшей эффективностью генерации импульсного терагерцового излучения обладает InSb p-типа
|
|
|
| а | б |
Рис. 4. Сравнение спектров генерации в полупроводниках с разным типом проводимости при накачке излучением фемтосекундных волоконных лазеров на длине волны 775 нм и 1550 нм.
Разработан метод повышения эффективности генерации ТГц излучения на поверхности полупроводников в постоянном магнитном поле (рис. 5). Исследовано влияние магнитного поля на эффективность генерации терагерцового излучения на поверхности полупроводников. Применение магнитного поля ~1 Тл приводит к увеличению мощности излучения в ~180 раз. (рис. 6)
|
|
|
| Рис. 5. Магнитная система терагерцового генератора. MS – намагниченность, d – зазор между магнитами, a, b – стороны магнита, HX – компонента напряженности магнитного поля перпендикулярная зазору. | Рис. 6. Сравнение спектральной плотности мощности ТГц излучения при генерации в полупроводниках с разным типом проводимости в магнитном поле. |
Публикации:
- Анцыгин В. Д., Конченко А. С., Корольков В.П., Мамрашев А.А., Николаев Н.А., Потатуркин О.И. Терагерцовый микрорастровый эмиттер на основе поперечного эффекта Дембера // Автометрия. 2013. Т. 49, № 2. С. 92–97.
- О. И. Потатуркин, Н. А. Николаев, А. А. Мамрашев, В. Д. Анцыгин, В. П. Корольков, А. С. Конченко. Многоэлементный генератор терагерцового излучения // Патент на изобретение № 2523746. Опубликован 20.07.2014. Бюллетень № 20.
- Об эффективности генерации терагерцового излучения в кристаллах GaAs, InAs и InSb // Автометрия. 2011. Т. 47, № 4. С. 23–30.
- Antsygin V. D., Mamrashev A. A., Nikolaev N. A., Potaturkin O. I. Effect of a magnetic field on wideband terahertz generation on the surface of semiconductors // IEEE Transactions on Terahertz Science and Technology. V. 5, Is. 4. P. 673–679.
ТГц свойства кристаллов семейства боратов и их применения
Экспериментально определены оптические свойства (показатель преломления и коэффициент поглощения) нелинейных кристаллов семейства боратов [1]: альфа- и бета-бората бария (α- и β-BaB2O4, α- и β-BBO), трибората (LiB3O5, LBO) и тетрабората лития (Li2B4O7, LB4).
В кристаллах LBO обнаружено значительное падение коэффициента поглощения (до уровня <5 см‑1) при охлаждении []. Построены уравнения Зельмеера для показателей преломления для оптических осей x, y и z при комнатной температуре и при температуре жидкого азота [3,4]. Рассчитаны кривые фазового синхронизма для генерации разностных частот в терагерцовый диапазон (рис. 8) при комнатной температуре в кристаллах LBO [4]. Однако эффективность данного преобразования низка из-за высокого коэффициента поглощения. Несмотря на падение поглощения в охлажденных кристаллах, эффективная генерация разностных частот в них также невозможна из-за невыполнения условий фазового согласования при низких температурах.
![]() |
![]() |
|
| Рис. 7. Коэффициент поглощения кристаллов LBO в терагерцовом диапазоне. | Рис. 8. Кривые фазового синхронизма для генерации разностных частот в терагерцовых диапазон при накачке кристаллов LBO излучением на длинах волн 475, 680, 1080 и 1500 нм | |
Измеренные показатели преломления β-BBO для обыкновенной и необыкновенной волн при комнатной температуре и температуре жидкого азота (рис. 9) аппроксимированы уравнениями Зельмеера [5]. На основе полученных результатов показана возможность генерации разностных частот лазерного излучения ближнего ИК-диапазона с преобразованием в длинноволновое (>650 мкм) терагерцовое излучение (рис. 10) [5], генерации второй гармоники в терагерцовом диапазоне, оптического выпрямления фемтосекундных импульсов в терагерцовый диапазон.
![]() |
![]() |
![]() |
| Рис. 9. Показатель преломления и коэффициент поглощения кристалла β-BBO. |
Рис. 10. Генерация разностных частот в кристалле β-BBO.
|
|
Публикации:
- Antsygin V. D., Mamrashev A.A., Nikolaev N.A., Potaturkin O.I., Bekker T.B., Solntsev V. P. Optical properties of borate crystals in terahertz region // Optics Communications. V. 309. P. 333–337.
- Andreev Yu., Lanskii G., Kokh A., Kokh K., Molloy J., Naftaly M., Mamrashev A., Nikolaev N., Litvinenko K., Murdin B.N., Svetlichnyi V. Observation of a different birefringence order at optical and THz frequencies in LBO crystal // Optical Materials. Vol. 66. P. 94–97.
- Николаев Н.А., Андреев Ю. М., Кононова Н. Г., Мамрашев А. А., Анцыгин В. Д., Кох К. А., Кох А. Е., Лосев В. Ф., Потатуркин О. И. Оптические свойства кристалла LBO в терагерцевом диапазоне при охлаждении до температуры жидкого азота // Квантовая электроника. 2018. Т. 48, № 1. С. 19–21.
- Nikolaev N. A., Andreev Yu. M., Kononova N. G., Lanskii G. V., Mamrashev A. A., Antsygin V. D., Kokh K. A., Kokh A. E. Temperature dependence of terahertz optical properties of LBO and perspectives of applications in down-converters // Journal of Physics: Conference Series. 2018. Vol. 951. P. 012005.
- Nikolaev N. A., Andreev Yu. M., Antsygin V. D., Bekker T. B., Ezhov D. M., Kokh A. E., Kokh K. A., Lanskii G. V., Mamrashev A. A., Svetlichnyi V. A. Optical properties of β-BBO and potential for THz applications // Journal of Physics: Conference Series. 2018. Vol. 951. P. 012003.
ТГц свойства кристаллов титанил-фосфата калия и их применения
Впервые экспериментально исследованы оптические свойства нелинейно-оптических кристаллов титанил-фосфата калия (КТР) в диапазоне 0,2-2,6 ТГц методом широкополосной терагерцовой (ТГц) спектроскопии [14-17]. Исследования проведены вдоль основных кристаллографических осей на образцах различной проводимости (σ1<10−12 Ом-1см-1, σ2≈10−11 Ом−1•см−1 и σ3=2•10−6 Ом−1•см−1). Обнаружены линии поглощения, обусловленные внешними колебаниями ионов калия относительно кристаллического каркаса, образованного TiO6 и PO4. Установлено, что особенности линий поглощения в кристаллах с различной проводимостью связаны со степенью неупорядоченности калиевой подрешетки, т.е. с наличием дополнительных позиций и степенью их заполнения ионами калия. Показано, что для генерации широкополосного излучения в диапазоне 0,2-1 ТГц кристаллы КТР могут быть более эффективны по сравнению с традиционно применяемыми для этих целей кристаллами ниобата лития.
![]() |
|
|
а |
б |
Рис. 11. Спектральная зависимость коэффициентов поглощения (а) и показателей преломления (б) высокоомного (σ2) кристалла КТР вдоль кристаллографических осей
Публикации:
- Antsygin V. D., Kaplun A. B., Mamrashev A. A., Nikolaev N. A., Potaturkin O. I. Terahertz optical properties of potassium titanyl phosphate crystals // Optics Express. 2014. V. 22, Is. 21. P. 25436.
- Huang J.-G., Huang Z.-M., Nikolaev N. A., Mamrashev A. A., Antsygin V. D., Potaturkin O. I., Meshalkin A. B., Kaplun A. B., Lanskii G. V., Andreev Yu. M., Ezhov D. M., Svetlichnyi V. A. Phase matching in RT KTP crystal for down-conversion into the THz range // Laser Phys. Lett. 2018. Vol. 15, № P. 075401.
- Mamrashev A.A., Nikolaev N.A., Antsygin V. D., Andreev Yu.M., Lanskii G. V., Meshalkin A. B. Optical Properties of KTP Crystals and Their Potential for Terahertz Generation // Crystals. 2018. Vol. 8, № 8. P. 310.
- Wang C.-R., Pan Q.-K., Chen F., Lanskii G. V. Nikolaev N. A., Mamrashev A. A., Andreev Yu. M., Meshalkin A. B. Phase-matching in KTP crystal for THz wave generation at room temperature and 81 K // Infrared Physics & Technology. 2019. Vol. 97. P. 1–5.
Измерение отношения концентраций орто- и параизомеров воды методом ТГц спектроскопии
Предложен метод измерения отношения концентраций ядерных спиновых изомеров молекул воды (орто- и пара-H2O) средствами широкополосной терагерцовой спектроскопии [1]. Метод позволяет одновременно детектировать оба спиновых изомера в одинаковых физических условиях. С помощью созданного терагерцового спектрометра [2] измерен спектр оптической плотности паров воды в атмосфере. Теоретические спектры орто- и параизомеров рассчитаны по данным базы HITRAN с учетом инструментальной функции спектрометра. Сопоставление теоретических спектров с экспериментальными позволило определить отношение концентраций орто- и параизомеров молекул воды. По измерениям в спектральном диапазоне 0,15–1,05 ТГц их отношение составило 3,03±0,03. Полученное значение совпадает в пределах ошибки измерений с теоретическим значением, равным 3 в равновесных условиях, что доказывает работоспособность предложенного метода.

Рис. 12. Сравнение экспериментального и теоретического спектров
оптической плотности паров воды в атмосфере.
Публикации:
- Mamrashev A. A., Maximov L. V., Nikolaev N. A., Chapovsky P. L. Detection of nuclear spin isomers of water molecules by terahertz time-domain spectroscopy // IEEE transactions on terahertz science and technology. 2018. V. 8, Is. 1. P. 13–18.
Система нестационарной терагерцовой спектроскопии на основе титан-сапфирового лазера
Разработана и создана система нестационарной ТГц спектроскопии на основе титан-сапфирового лазера с многопроходным усилителем. К двум каналам системы стационарной ТГц спектроскопии, терагерцовому зондирующему и лазерному считывающему, добавлен третий – импульсный для предварительного возбуждения исследуемых образцов (рис. 13 и 14). Реализовано два режима сканирования. Первый расширяет стационарную спектроскопию, т.е. в разные моменты после возбуждающего импульса сканируется зондирующий терагерцовый импульс. Во втором режиме фиксируется оптическая задержка между возбуждающим и считывающим импульсами и меняется их общая задержка относительно зондирующего ТГц импульса. Разработаны и созданы программные модули восстановления параметров исследуемых образцов, которые позволяют изучать их терагерцовый отклик в различные моменты после возбуждения. Для расчетов используется квазистационарное приближение, при котором предполагается, что свойства исследуемых материалов меняются медленнее, чем время взаимодействия с зондирующим ТГц импульсом.
На рис. 13 и 14 приняты следующие обозначения: канал предварительного возбуждения образца – голубой; канал генерации ТГц излучения – красный; канал регистрации ТГц излучения – оранжевый; зондирующее терагерцовое излучение – зеленый.
Рис. 13. Блок-схема системы терагерцовой спектроскопии с предварительным возбуждением образца. Условные обозначения: Мi – селективное диэлектрическое зеркало на соответствующую длину волны; λ/2 + БПi – делитель пучка на два канала с регулировкой по мощности; Ф – фильтр из высокоомного кремния, пропускающий ТГц излучение и отрезающий излучение накачки на длине волны 800 нм; СФ – фильтр, пропускающий излучение на длине волны 400 нм и отрезающий излучение на 800 нм; СД – светоделитель; Г – генератор ТГц излучения; Д – детектор ТГц излучения; ПВ – призма Волластона
Рис. 14. Фото оптической части стенда системы терагерцовой спектроскопии с предварительным возбуждением образца
Экспериментально определены основные функциональные возможности системы нестационарной ТГц спектроскопии, зависящие от параметров излучения титан-сапфирового лазера с многопроходным усилителем: центральной длины волны 807 нм, ширины спектра ~52 нм, длительности импульса – 37,5 фс и энергии в импульсе – 1,8 мДж. Показано, что при этих параметрах терагерцовый диапазон созданной системы нестационарной спектроскопии ограничен 26 ТГц, временное разрешение каналов предварительного возбуждения и регистрации – длительностью лазерного импульса, а динамический диапазон ограничен отношением сигнал/шум интенсивности лазерного излучения и не превышает 60 дБ.
- Antsygin V.D., Mamrashev A.A., Nikolaev N.A., Potaturkin O.I. Study of hot carrier relaxation in narrow-gap semiconductors with time-resolved terahertz spectroscopy // The XII International Conference Atomic and Molecular Pulsed Lasers – AMPL (Tomsk, Russia, September 14-18, 2015): Abstracts. Tomsk: Publishing House of IAO SB RAS. - 2015. - P. 123.
















